Psychosocial Interventions for Edge of Care Families in the Early Years: A Systematic Review and Meta-Analysis
Oliveira, P. S.
ORCID: 0000-0003-1523-8225, Vaillancourt, K.
ORCID: 0000-0001-5166-4438, Giné Rabadán, A.
ORCID: 0009-0004-8668-4454 , Akay, N., Fearon, P. & Barlow, J. (2025).
Psychosocial Interventions for Edge of Care Families in the Early Years: A Systematic Review and Meta-Analysis.
Trauma, Violence, & Abuse,
article number 15248380251366259.
doi: 10.1177/15248380251366259
Abstract
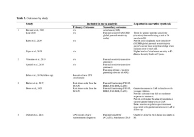
Despite the recognised need for early interventions to prevent maltreatment and family separation in families involved with child protection services (CPS), evidence for children aged 0–5 years remains scarce and inconclusive. This systematic review and meta-analysis aimed to evaluate the effectiveness of psychosocial interventions delivered to these families, in reducing risk of harm, improving parenting quality, and supporting parental functioning. The review included families with children aged 0–5 years engaged with CPS and deemed at risk of entering the care system. A systematic search of databases (e.g., PubMed, CINAHL, PsychINFO) was conducted for randomised controlled trials (RCTs) from 1990–2024. Eligible studies were assessed for risk of bias using the Revised Cochrane Risk-of-Bias Tool. Meta-analyses used random effects models to estimate standardized mean differences (SMD) or odds ratios (OR). Narrative synthesis was provided for outcomes not appropriate to include in meta-analyses. Fifteen RCTs (n = 2232 families) were included. Interventions did not demonstrate consistent effects on reducing subsequent maltreatment, as measured by official records (OR = 0.88, 95% CI: 0.75–1.02) or parent-reported risk of harm (SMD = -0.07, CI: -0.25–0.11). However, significant improvements were observed in parental sensitivity (SMD = 0.53, CI: 0.30–0.76), attachment organisation (OR = 2.17, CI: 1.64–2.87), and parental functioning (SMD = -0.21, CI: -0.36– -0.06). In conclusion, psychosocial interventions show promise in improving parenting among edge-of-care families but lack consistent evidence for reducing maltreatment risk. Future research should prioritise larger trials with standardised outcome measures to strengthen this evidence base.
| Publication Type: | Article |
|---|---|
| Additional Information: | Copyright © 2025 |
| Subjects: | B Philosophy. Psychology. Religion > BF Psychology H Social Sciences > HN Social history and conditions. Social problems. Social reform R Medicine > RA Public aspects of medicine > RA0421 Public health. Hygiene. Preventive Medicine R Medicine > RC Internal medicine > RC0321 Neuroscience. Biological psychiatry. Neuropsychiatry R Medicine > RJ Pediatrics > RJ101 Child Health. Child health services |
| Departments: | School of Health & Medical Sciences School of Health & Medical Sciences > Department of Nursing & Midwifery |
| SWORD Depositor: |
Download (384kB) | Preview
Download (136kB) | Preview
Download (165kB) | Preview
Download (878kB) | Preview
Export
Downloads
Downloads per month over past year
Metadata
Metadata